Home What is? Install Overview CTQMC docker MnO FeSe SrVO3 LaVO3 Cerium Sr2IrO4 Ta2NiSe5 phonon High-throughput

Tutorial 5: Ce-alpha to gamma transition.

The alpha to gamma transition in Cerium is isostructural, i.e., the volume of the fcc structure changes for 14%, and there is enormous difference in coherence scale between the two phases. On average, Cerium has one electron in the 4f-shell, which we will treat dynamically with DMFT. To contrast the difference between the two phases, we will explain the process for calculating both phases in parallel. The only difference for the two phases is the different lattice constant, entered in the structure file.

The first step is to make a DFT calculation to get a good charge density. Copy the Ce_alpha.struct file into directory with name Ce_alpha, and run

init_lapw
Choose default options in Wien2k setup. We can choose a small number of k-points (200) at first to converge LDA/GGA run. Next, add spin-orbit coupling by running
initso
and then rerun LDA/GGA by
run_lapw -so
Next increase the number of k-points to a large number (say 5000). For alpha phase, which has a narrow Kondo peak, it is advisable to use even more k-points, like 10000. Then rerun LDA/GGA once more
run_lapw -so
Exactly the same procedure should be repeated for gamma phase, with the structure file Ce_gamma.struct. Note that if you want to compare the total free energies between the two phases, you have to make sure that the muffin-tin sphere for both calculations is the same (check RMT in case.struct).

Once the DFT calculation is done, we have a good charge density to start a DMFT calculation. The next step is to initialize the DMFT calculation using

init_dmft.py
There are 1 atoms in the unit cell:
  1 Ce
Specify correlated atoms (ex: 1-4,7,8): 1
We choose the Ce atom to be treated as a correlated.
For each atom, specify correlated orbital(s) (ex: d,f):
  1 Ce: f
Specify qsplit for each correlated orbital (default = 0):
    Qsplit  Description
------  ------------------------------------------------------------
     0  average GF, non-correlated
     1  |j,mj> basis, no symmetry, except time reversal (-jz=jz)
    -1  |j,mj> basis, no symmetry, not even time reversal (-jz=jz)
     2  real harmonics basis, no symmetry, except spin (up=dn)
    -2  real harmonics basis, no symmetry, not even spin (up=dn)
     3  t2g orbitals 
    -3  eg orbitals
     4  |j,mj>, only l-1/2 and l+1/2
     5  axial symmetry in real harmonics
     6  hexagonal symmetry in real harmonics
     7  cubic symmetry in real harmonics
     8  axial symmetry in real harmonics, up different than down
     9  hexagonal symmetry in real harmonics, up different than down
    10  cubic symmetry in real harmonics, up different then down
    11  |j,mj> basis, non-zero off diagonal elements
    12  real harmonics, non-zero off diagonal elements
    13  J_eff=1/2 basis for 5d ions, non-magnetic with symmetry
    14  J_eff=1/2 basis for 5d ions, no symmetry
------  ------------------------------------------------------------
  1  Ce-1 f: 4
This chooses the |j,mj> basis. We used that choice because spin-orbit coupling is very large in Ce and is important for its physical properties. The crystal filled splittings are small and we will ignore them inside the impurity solver (they are not ignored on the level of lattice, they are just not renormalized by the impurity solver). We could include them by adding extra transformation, which will be discussed in subsequent tutorials.
Specify projector type (default = 2):
  Projector  Description
------  ------------------------------------------------------------
     1  projection to the solution of Dirac equation (to the head)
     2  projection to the Dirac solution, its energy derivative, 
          LO orbital, as described by P2 in PRB 81, 195107 (2010)
     4  similar to projector-2, but takes fixed number of bands in
          some energy range, even when chemical potential and 
          MT-zero moves (folows band with certain index)
     5  fixed projector, which is written to projectorw.dat. You can
        generate projectorw.dat with the tool wavef.py
------  ------------------------------------------------------------
> 5
The fixed projector gives stationary solution.
Do you want to group any of these orbitals into cluster-DMFT problems? (y/n): n
Enter the correlated problems forming each unique correlated
problem, separated by spaces (ex: 1,3 2,4 5-8): 1
Range (in eV) of hybridization taken into account in impurity
problems; default -10.0, 10.0: <ENTER>
Perform calculation on real; or imaginary axis? (r/i): i
Is this a spin-orbit run? (y/n): y
Now that we created Ce_alpha.indmfl and Ce_alpha.indmfi and projectorw.dat, we can just copy them to Ce_gamma calculation, and change their name to Ce_gamma.indmfl... We could of course rerun init_dmft.py on the Ce_gamma run. When the total energy is to be compared, it is safer to copy files to make sure that all quantities remain the same in all input files.

Next create a new folder, and when in that folder, use the command

dmft_copy.py <lda_results_directory>
where <lda_results_directory> is the directory where the output of the DFT calculation with DMFT initialization is. This command copies the necessary files to start a DMFT calculation.

Next, copy the params.dat file, which has the content

solver         =  'CTQMC'   # impurity solver
DCs            =  'nominal' # double counting scheme

max_dmft_iterations = 1     # number of iteration of the dmft-loop only
max_lda_iterations  = 100   # number of iteration of the LDA-loop only
finish         =  50        # number of iterations of full charge loop (1 = no charge self-consistency)

ntail          =  300       # on imaginary axis, number of points in the tail of the logarithmic mesh

cc             =  2e-6      # the charge density precision to stop the LDA+DMFT run
ec             =  2e-6      # the energy precision to stop the LDA+DMFT run

recomputeEF    = 1          # Recompute EF in dmft2 step. If recomputeEF = 2, it tries to find an insulating gap.
# mix_delta    = 0.5        # uncomment, if experience instability

# Impurity problem number 0
iparams0={"exe"                : ["ctqmc"              , "# Name of the executable"],
          "U"                  : [6.0                  , "# Coulomb repulsion (F0)"],
          "J"                  : [0.7                  , "# Coulomb repulsion (F0)"],
          "nc"                 : [[0,1,2,3]            , "# Impurity occupancies"],
          "beta"               : [100                  , "# Inverse temperature"],
          "svd_lmax"           : [25                   , "# We will use SVD basis to expand G, with this cutoff"],
          "M"                  : [10e6                 , "# Total number of Monte Carlo steps"],
          "mode"               : ["SH"                 , "# We will use self-energy sampling, and Hubbard I tail"],
          "nom"                : [200                  , "# Number of Matsubara frequency points sampled"],
          "tsample"            : [300                  , "# How often to record measurements"],
          "GlobalFlip"         : [1000000              , "# How often to try a global flip"],
          "warmup"             : [3e5                  , "# Warmup number of QMC steps"],
          "atom_Nmax"          : [100                  , "# Maximun size of the block in generatic atomic states"],
          "nf0"                : [1.0                  , "# Nominal occupancy nd for double-counting"],
}
Note that we took nom=200, which is only 2*beta. The reason for this is that f-states are much narrower, and hence the frequency at nom=2*beta = 12.5eV is safely in the tail.

The other important difference compared to previous calculations on d systems is in two additional parameters, which both control the exact diagonalization of the atom. These parameters are specific to f-systems, and have no effect in d systems:

  • nc=[0,1,2,3] 
    specifies that we will take into account only a finite number of valences, namely Ce f0, f1, f2, and f3 configurations. This considerably speeds up the calculation, and it does not reduce the precision, as the probability for f4 is below numeric precision.
  • atom_Nmax=100
    specifies that if a block of atomic eigenstates has dimension more than 100, it should be cut to size 100. This does not have any effect in Ce, as the largest block in f3 configuration is 41-dimensional. But this improves the speed considerably in heavier lanthanides and actinides, where these blocks are much larger.

    To proceed, one should create a blank self-energy on imaginary axis by a command
    szero.py
    
    Alternatively, if an approximate self-energy exists, one can just copy sig.inp approximate self-energy to the current directory. To restart from previous run, one needs to copy also EF.dat file (chemical potential) and "case.clmsum" (charge density).

    Moreover, to allow the impurity to restart from the previous calculation, one can also copy imp.0/status.xxx files, which contain the last configuration of the impurity solver. We also provide status_1.tgz, status_2.tgz, and status_3.tgz files, which contain status files from previous steps, from one, two and three steps before. This is useful when we want to restart from a status from a few steps ago, in case the calculation goes in the wrong direction.


    Now we have all files prepared, and we can submit the job. The submit-script should invoke python script "$WIEN_DMFT_ROOT/run_dmft.py". Do not forget to prepare mpi_prefix.dat file before invoking the python script.

    Once the DFT+DMFT is running, monitor its status by checking the log files



    To check what is the distribution of perturbation orders, we can plot imp.0/histogram.dat, which should be gaussian, and should look like:
    This show the distribution of the perturbation order, which is related to the kinetic energy. (In the older versions of the code, one had to specify the maximum perturbation order allowed (Nmax), but in the new version of the code, this is not needed).

    We can also check what is the probability for each atomic state, i.e., probability that a Ce-f electron is in any of the atomic states. This information is written in imp.0/Probability.dat. The first and the second column correspond to the index of each state, as defined in actqmc.cix ( which enumerates all atomic states). The third column is the probability for a state. Note that the first column is the index of the block of atomic state as specified in actqmc.cix index table. As each block of atomic states is in general multidimensional (the corresponding energies are listed in a single row of the actqmc.cix file), we need the second index.

    Here is the plot of probability for first 106 states:

    The first state corresponds to the empty 4f ion. The next 14 states (from 1..14) correspond to nominal occupancy N=1, and the values between 15 and 106 correspond to occupancy N=2. At N=1, there are two sets of probabilities, 6 take the value around 0.11, and 8 take the value of 0.018. The first and the second set corresponds to j=5/2 and j=7/2 multiplet, respectively. The next 92 states, which correspond to occupancy N=2, have probablity around 1e-3. They can be grouped into multiplets, the lowest being J=4, followed by J=2 and J=5. Notice that the lowest multiplet satisfies Hunds rules (largest S=1, largest L=5, and J=L-S=4). Notice also that although alpha-Ce is a very itinerant metal, the projection to the atomic states still satisfies atomic rules, such as Hunds rules. The cumulative probability for N=2 states is around 0.086. Compare this to N=1 probability of 0.836, and N=0 probability of 0.077. The next 364 states correspond to N=3 occupancy, and their histogram looks like:
    Typical probability of N=3 state is 1e-6, and cumulative probability is 0.0012. Clearly, the probability falls off very rapidly with particle number N, hence we can safely restrict occupancy in params.dat file to nc=[0,1,2,3].

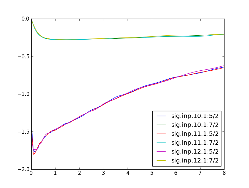
    In the next plots, we show the self-energy on imaginary axis for both alpha and gamma phase or Cerium. We can monitor self-energy during the self-consistent run. After 3 DMFT iterations, the self-energy of alpha-Cerium is almost converged, and we see that it does not change much between iteration 5-9. The slope of imaginary part of the the 5/2 self-energy is dSigma/dw~4, which gives mass enhancement of m*/m~5, i.e., the quasiparticle peak is roughly 5-times narrower than in DFT.


    The gamma-phase of Cerium is in local moment regime, where the scattering rate at low energy is very large (bad metal). Here we see the imaginary part of 5/2 self-energy to reach 1.5eV.
    Notice that the 7/2 self-enery is Fermi-liquid like, however, the 7/2 states have almost no weight at the Fermi level.

    To obtain the self-energy on the real axis, we need to do analytical continuation from Matsubara to real axis. We will use maximum-entropy method on auxiliary quantity Gauxiliary=1/(omega-Sigma+Sigmainfty). First we take the average of the sig.inp files from the last few steps (in order to reduce the noise) by
    saverage.py sig.inp.[5-9].1
    This script creates the file sig.inpx. Next, create a new directory, and copy the averaged self-energy. Also copy the maxent_params.dat file, which contains the parameters for the analytical continuation process. Then run
    maxent_run.py sig.inpx
    which uses the maximum entropy method to do analytical continuation. This creates the self energy Sig.out on the real axis. The self-energy for the alpha phase should be similar to this plot:
    and for the gamma phase to this plot:


    Now we need to make one last dmft1 calculation in order to obtain the Green's function and DOS on the real axis. Create a new directory, and use
    dmft_copy.py <dmft_results>
    to copy necessary files from the output of the DMFT run to the new directory. Also copy the analytically continued self energy Sig.out to sig.inp to this new directory. Since we need to run the code on the real axis, we need to change the .indmfl file. The matsubara flag (the first number on the second line) determines whether the code is run on the real axis (0) or the imaginary axis (1). Change it to 0. Then, run
    x lapw0 -f alpha-Ce
    x_dmft.py lapw1
    x_dmft.py lapwso
    x_dmft.py dmft1
    
    respectively. For the alpha-phase, the resulting DOS in Ce_alpha.cdos should look like this plot:
    and for gamma-phase similar to this plot:
    The partial 5/2 and 7/2 DOS can be obtained from case.gc1, while the total DOS and projected 4f-DOS can be obtained from case.cdos. Note a huge difference in the strength of the quasiparticle peak near the Fermi level between the two phases. Also note that the gamma-phase is not stable at 116K (the temperature of our calculation), it is stable only above 200K at zero pressure. This calculation would than correspond to a metastable state. At higher temperature, the small peak at EF in gamma-phase would be even broadener. Also note the characteristic splitting of the quasiparticle peak in cerium into three peaks, one below EF at roughly -SO energy, the 5/2 peak at the EF, and 7/2 peak at +SO energy. This splitting becomes even more pronounced in gamma phase because the huge quasiparticle peak in alpha phase prevents a clear identification of peak at -SO.

    Finally, let us resolve the spectra in momentum space. For that we first need to prepare k-list. We can take one from Wien2k templated for fcc crystal structure. We then run DFT by
    x lapw1 -f alpha-Ce -band
    x lapwso -f alpha-Ce -band
    

    We also need to edit alpha-Ce.indmfl file to set the range in frequency and make sure that matsubara is set to 0. We will use 400 frequency points on real axis in the energy window -4eV to 5eV, hence the header of alpha-Ce.indmfl will look like that
    9 34 1 5                              # hybridization band index nemin and nemax, renormalize for interstitials, projection type
    1 0.025 0.025 400 -4.000000 5.000000  # matsubara, broadening-corr, broadening-noncorr, nomega, omega_min, omega_max (in eV)
    

    Next, we compute DMFT eigenvalues by executing

    x_dmft.py dmftp
    Finally, we plot the spectral function by invoking
    wakplot.py
    If the spectra looks too dim, we can adjust the intensity by adding an argument, which is smaller than 0.2, for example
    x_dmft.py dmftp 0.02
    The spectra for the alpha phase should look like that:
    and for the gamma phase like that:
    This clearly shows that in gamma phase the spectral features associated with f-states loose intensity dramatically, while some kinks in the spectra persist even in local moment regime. Also note that the lower Hubbard band, which is located between -3eV and -2eV, is very hard to identify in the spectra. The upper Hubbard band has much more intensity and it is easier to see it, being centered at 3-4eV. Note that the spectral weight distribution on the real axis is not very precise, as it is obtained by maximum entropy method, which gives only a rough approximation for the spectra on the real axis.